课程
题库
资讯
搜题
APP下载
扫描下载APP
Andriod下载
iPhone下载
登录/注册
单选题
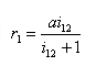
传动比为i12,中心距a的外啮合圆柱齿轮机构,主动轮节圆半径r1的计算式为: A
B
C
D
A
A
B
B
C
C
D
D
正确答案:
A
可在小程序上查看本题解析,扫码查看
刷真题 · 看解析 · 听课程
易错题