课程
题库
资讯
搜题
APP下载
扫描下载APP
Andriod下载
iPhone下载
登录/注册
单选题
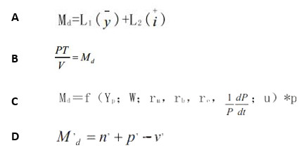
按照马克思的理论,其货币需求规律表达式是()。
A
A
B
B
C
C
D
D
正确答案:
B
可在小程序上查看本题解析,扫码查看
刷真题 · 看解析 · 听课程
易错题